當前位置: 華文天下 > 國風

董其昌小楷【樂毅論】:文人書法界的「天花板」

2025-03-13國風

董其昌,明代書法界的「頂流」,那小楷一出手,就驚艷了整個藝術圈。

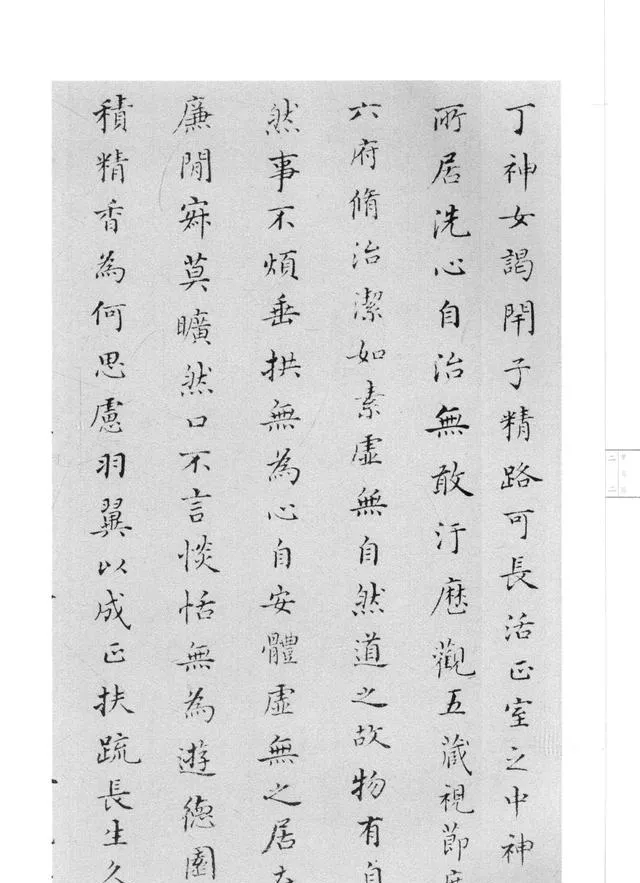
走進董其昌的小楷世界,就像闖進了一座充滿驚喜的書法寶藏庫。筆畫之間,粗細拿捏得那叫一個穩,就像頂級廚師調味,多一分則膩,少一分則淡。起筆時,幹凈利落,像是大俠拔劍,寒光一閃,氣勢十足;收筆時,又恰到好處,宛如優雅的舞者謝幕,韻味悠長。

結字上,董其昌更是玩出了花。每個字都像是被精心安排的小士兵,整齊又不失靈動。它們相互呼應,顧盼生情,仿佛在紙上開派對,熱鬧非凡又秩序井然。有的字微微傾斜,像是在調皮地眨眼睛;有的字則端端正正,盡顯端莊大氣,組合在一起,和諧得不像話。

再說章法,那布局簡直絕了!字與字、行與行之間,疏密得當,就像精心設計的園林景觀,有開闊的湖面,也有曲折的小徑。整幅作品看下來,如同一首優美的樂章,高低起伏,節奏明快。

董其昌小楷的魅力,還在於它背後的文化底蘊。他把自己的人生感悟、文學修養都融入到了筆墨之中。一筆一劃,都是他對世界獨特的理解。欣賞他的小楷,就像是和一位智者對話,能感受到他的豁達、他的才情。

董其昌的小楷,是書法史上的一座豐碑。在小楷的江湖裏,他就是那個稱霸武林的大俠,一招一式,都讓後人頂禮膜拜。哪怕再過幾百年,這飄逸靈動、充滿韻味的小楷,依然會在藝術的天空中閃閃發光,成為無數書法愛好者心中永遠的「白月光」。

今天,我們一起來欣賞 董其昌的4篇小楷作品,分別是【樂毅論】【黃庭經】【陰符經】【徐浩書府君碑】。

01.董其昌小楷【樂毅論】

02.董其昌小楷【黃庭經】

03.董其昌小楷【陰符經】

04.董其昌小楷【徐浩書府君碑】